Biography | Research | Skills & Qualification | Selected conferences | Selected publications | Modeling

Dr. Mikhail Povarnitsyn

Address:
Joint Institute for High Temperatures, RAS
Laboratory for Wide-range Equations of State
Izhorskaya 13 Bldg 2
Moscow 125412, Russia

Phone: +7(495)484 2456
Fax: +7(495)485 7990
E-mail: povar@ihed.ras.ru

photo

Biography
Mikhail Povarnitsyn studied physics at the Moscow Institute of Physics and Technology, obtaining respective degree in 1996. He obtained a doctoral degree at the Joint Institute for High Temperatures RAS in 2001 with a thesis on Simulation of Vortex Structures in Convective Fluxes. Then, he continued his work at JIHT developing numerical codes for simulation of shock waves in multi-material multiphase flows. In 2006 he obtained a position at le Laboratoire Lasers Plasmas et Procedes Photoniques (Marseille, France), where he carried out postdoctoral research on the laser-matter interaction. In 2007, he joined the Laboratory for Wide-Range Equations of State at JIHT and worked at integration of his own code into Adaptive Mesh Refinement library Chombo. Currently, he leads 3D Hydrodynamic modeling of shock waves, MD simulation of the laser-matter interaction, and supervises PhD students.

[top]

Research
The research activity covers the study of condensed matter response on intensive energy fluxes both from the hydrodynamics and MD point of view. The aim is to complement experiment by providing a realistic description of the mechanisms occurring on different time and space scales. This is achieved in hydrodynamic simulations by accurately accounting for multiple mechanisms such as electron-phonon/ion coupling, electron thermal conduction, bremsstrahlung mechanism of laser energy absorption, homogenous nucleation, melting and evaporation. For MD modeling an accurate selection and adjustment of interatomic potential including force-matching technique is applied. MD approach accounts for homogenous and heterogeneous melting, spallation, nucleation, cauterization etc. Both approaches are robust for launching on high performance computers, and permit the detailed description of material evolution on both atomic and microscopic scales. Development of numerical algorithms and codes for simulation of 2D and 3D hydrodynamic multi-material flows is essential part of the work. Successful realization includes AMR module, multi-material hydrodynamics with VoF or MoF interface reconstruction algorithms, multiphase equations of state, mixture models for description of “effective” thermodynamical and mechanical properties of matter in multi-material cells, shock capturing procedures. Development of wide-range models for dielectric function, thermal conductivity, ionization is important for proper description of substance response on intensive irradiation. Application of different approaches provides a more complete picture of material evolution.

[top]

Skills & Qualification
  • Development of Internet resource Virtual Laser Laboratory
  • Development of numerical algorithms and codes for simulation of 2D and 3D hydrodynamic multi-material flows, 2D and 3D VOF interface reconstruction, mixed cells, mixture theories, treatment of phase transitions (evaporation, melting, explosive boiling)
  • Using Windows and Linux systems
  • Languages: C++, Fortran, Java (applets)
  • Object Oriented Programming, mixed C++/Fortran projects
  • Parallel programming with MPI
  • Implementation of own algorithms into foreign codes (Chombo package for adaptive mesh refinement)
  • Usage of different compilers (icc, ifort, g++, g77, mpiCC)
  • Debugging of the codes in Linux (gdb, TotalView) and Windows (Visual Studio)
  • Commercial packages ANSYS CFX 11, ANSYS ICEM CFD
  • Data visualisation using VisIt package, see https://wci.llnl.gov/codes/visit/
  • Preparing of scientific reports, publications, participation in conferences
  • Supervising of PhD students
  • Foreign languages: English, French

[top]

Selected Conferences
2014

International High Power Laser Ablation Symposium, April 21-25, 2014, Santa Fe, New Mexico, USA. Comparison of Continuum and Molecular Dynamics Methods for Simulation of Laser Ablation of Metals. [zip]

2013

XXVIII International Conference on Interaction of Intense Energy Fluxes with Matter, March 1-6, 2013, Elbrus, Kabardino-Balkaria, Russia. Simulation of femtosecond laser ablation of gold into water. [ppt]

2012

32nd International Workshop on Physics of High Energy Density in Matter, January 29th - February 3rd, 2012 Waldemar-Petersen-Haus, Hirschegg Austria. Virtual Laser Laboratory: Online simulation of laser experiments. [pdf]

2011

EMR-S 2011 Spring Meeting, Symposium J: Laser materials processing for micro and nano applications, Nice France 9-13 May. A wide-range model for simulation of pump-probe experiments with metals. [ppt]

2009

PNP 13, 13th International Conference on Physics of Non-Ideal Plasmas, Chernogolovka, Russia 13-18 September. On the modeling of double pulse laser ablation of metals. [ppt]

2008

EMMI Workshop, Plasma Physics with Intense Ion and Laser Beams, Darmstadt, Germany 21 - 22 November. Multiphase code development for simulation of PHELIX experiments. [ppt]

EMR-S 2008 Spring Meeting, Symposium B: Laser and plasma in micro- and nano-scale materials processing and diagnostics, Strasbourg, France 26-30 May. Phase transitions in femtosecond laser ablation. [ppt]

SPIE High-Power Laser Ablation, Taos, New Mexico USA 20-24 April. Implementation of kinetics of phase transitions into hydrocode for simulation of laser ablation.

New Models and Hydrocodes for Shock Wave Processes in Condensed Matter, Lisbon – Monte Estoril, Portugal 18-23 May. Simulation of Multi-material Flows Using Adaptive Mesh Refinement Technology. [ppt]

2007

Hyper-Velocity Impact Symposium, September 23-27, Williamsburg, VA USA. Simulation of shock-induced fragmentation and vaporization in metals.

15th APS Topical Conference on Shock Compression of Condensed Matter, Kohala Coast, Hawaii, USA 24-29 June. Simulation of phase transitions and material decomposition in ultrashort laser-metal interaction. [ppt]

[top]

Selected Publications
2015

N.E. Andreev, M.E. Povarnitsyn, M.E. Veysman, A.YA. Faenov, P.R. Levashov, K. V. Khishchenko, T.A. Pikuz, A.I. Magunov, O.N. Rosmej, A. Blazevic, A. Pelka, G. Schaumann, M. Schollmeier and M. Roth Interaction of annular-focused laser beams with solid targets // Laser and Particle Beams. V.33 (2015) P. 541–550.

2014

Povarnitsyn M. E., Itina T. E. Hydrodynamic modeling of femtosecond laser ablation of metals in vacuum and in liquid // Applied Physics A. V. 117 (2014) P. 175-178. [pdf]

2013

Povarnitsyn M. E., Andreev N. E., Levashov P. R., Khishchenko K. V., Kim D. A., Novikov V. G., Rosmej O. N. Laser irradiation of thin films: Effect of energy transformation // Laser and Particle Beams. V. 31(4) (2013) P. 663-671. [pdf]

Povarnitsyn M. E., Itina T. E., Levashov P. R., Khishchenko K. V. Mechanisms of nanoparticle formation by ultra-short laser ablation of metals in liquid environment // Phys. Chem. Chem. Phys. V. 15(9) (2013) P. 3108-3114. [pdf]

2012

Поварницын М. E., Захаренков А. С., Левашов П. Р., Хищенко К. В. Моделирование многокомпонентных гидродинамических течений с использованием адаптивных сеток // Вычислительные методы и программирование. Т. 13 (2012) С. 424–433.[pdf]

Povarnitsyn M. E., Andreev N. E., Apfelbaum E. M., Itina T. E., Khishchenko K. V., Kostenko O. F., Levashov P. R., Veysman M. E. A wide-range model for simulation of pump-probe experiments with metals. // Applied Surface Science. V. 258 (2012) P. 9480–9483. [pdf]

Povarnitsyn M. E., Kniazev D. V., Levashov P. R. Ab Initio Simulation of Complex Dielectric Function for Dense Aluminum Plasma. // Contrib. Plasma Phys. V. 52, No. 2, (2012) 145–148. [pdf]

Povarnitsyn M. E., Andreev N. E., Levashov P. R., Khishchenko K. V., and Rosmej O. N. Dynamics of thin metal foils irradiated by moderate-contrast high-intensity laser beams // Physics of Plasmas. V. 19, (2012) 023110. [pdf]

2011

Povarnitsyn M. E., Itina T. E., Levashov P. R., and Khishchenko K. V. Simulation of ultrashort double-pulse laser ablation // Applied Surface Science. V.257, (2011) P.5168-5171. [pdf]

2009

Povarnitsyn M. E., Itina T. E., Khishchenko K. V., and Levashov P. R. Suppression of ablation in femtosecond double-pulse experiments // Phys. Rev. Lett. V. 103, (2009) P.195002. [pdf]

Povarnitsyn M. E., Khishchenko K. V., and Levashov P. R. Phase transitions in femtosecond laser ablation. // Applied Surface Science. V.255, P.5120-5124 (2009). [pdf]

2008

Povarnitsyn M. E., Khishchenko K. V., and Levashov P. R. Simulation of shock-induced fragmentation and vaporization in metals // Int. J. Impact. Eng. V.35, Iss.12, P.1723-1727 (2008). [pdf]

2007

Povarnitsyn M. E., Itina T. E., Sentis M., Levashov P. R., and Khishchenko K. V. Material decomposition mechanisms in femtosecond laser interactions with metals. // Phys. Rev. B V.75, P.235414 (2007). [ps]

Povarnitsyn M. E., Itina T. E., Levashov P. R., and Khishchenko K. V. Multi-material two-temperature model for simulation of ultrashort laser ablation // Applied Surface Science. V.253, Iss.15, P.6343-6346 (2007). [pdf]

2006

Povarnitsyn M. E., Levashov P. R., and Khishchenko K. V. Hypervelocity impact problem modeling using different equations of state // Int. J. Impact. Eng. V.33, Iss.1-12, P.625-633 (2006). [pdf]

[top]

Modeling

High-speed impact of Pb ball with radius 1 cm travelling at 2.82 km/s (Vx = 2 km/s; Vy = 2 km/s; Vz = 0 km/s) on Al and Ti screens of 1 cm thickness. Multiphase EOSs are used for all materials as well as fragmentation models. The domain is 40 × 40 × 20 cm. Four refinement levels are used. The mesh of the l = 0 is 32 × 32 × 16. The other levels l = 1, 2, 3 and 4 are refined with the factor 2 and thus an “effective” mesh is 512 × 512 × 256 (0.078 cm cell size). Density distribution at the moments 0 µs (left) and 100 µs (right).

photo photo

[top]

Electric underwater heating of Cu wires array. An “effective” mesh is 4096 × 4096, and cell size is 4.8 µm, 6 mesh levels with refinement factor 2. Density distribution of the electrical underwater explosion of a cylindrical array of 40 Cu wires at the moments 0.48 µs (left) and 0.98 µs (right).

photo photo

[top]

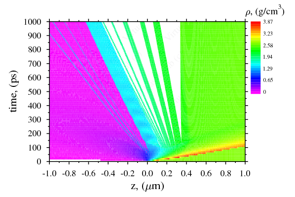
Time-space diagram of laser ablation of Al bulk target by 100 fs and 800 nm pulses with 5 J/cm2 (left) and 25 J/cm2 (right). Lagrangian 1D two-temperature hydrodynamics, density distribution.

photo photo

[top]